2019年8月22日,国际学术期刊Frontiers in Plant Science(SCI, IF: 4.106)在线发表了太阳成集团tyc151cc历史文化学院王灿博士等人撰写的学术论文“Bulliform Phytolith Size of Rice and Its Correlation With Hydrothermal Environment: A Preliminary Morphological Study on Species in Southern China” (水稻扇型植硅体大小及其与水热环境的关系:基于中国南方稻种的初步形态学研究)。
水稻(Oryza sativa L.)是世界上最重要的粮食作物之一,养活了全球一半以上的人口,与人类生存和文明发展具有十分密切的联系。因此,水稻在何时何地以及如何被驯化,一直是学术界关注的热点问题。近十年来,通过水稻谷粒、小穗轴和植硅体的形态学分析以及考古水稻遗存的古DNA分析等手段,学界在水稻驯化历史的研究中取得许多新进展。在先前的研究中,水稻扇型植硅体大小通常被用作指示水稻驯化状态和过程的指标,一方面因为其产量大并在地层中含量丰富,另一方面因为其形态受基因控制,可能在驯化过程中由于基因变异呈现出增大趋势。因此,有学者推测驯化稻通常具有比野生稻更大的扇型植硅体。然而,这一假设仍缺少现代水稻扇型植硅体的形态测量学证据支持,需要进一步验证其真实性。另外,水稻的生长环境如气候和干湿状况是否以及如何影响扇型植硅体的大小依然是不清楚的。
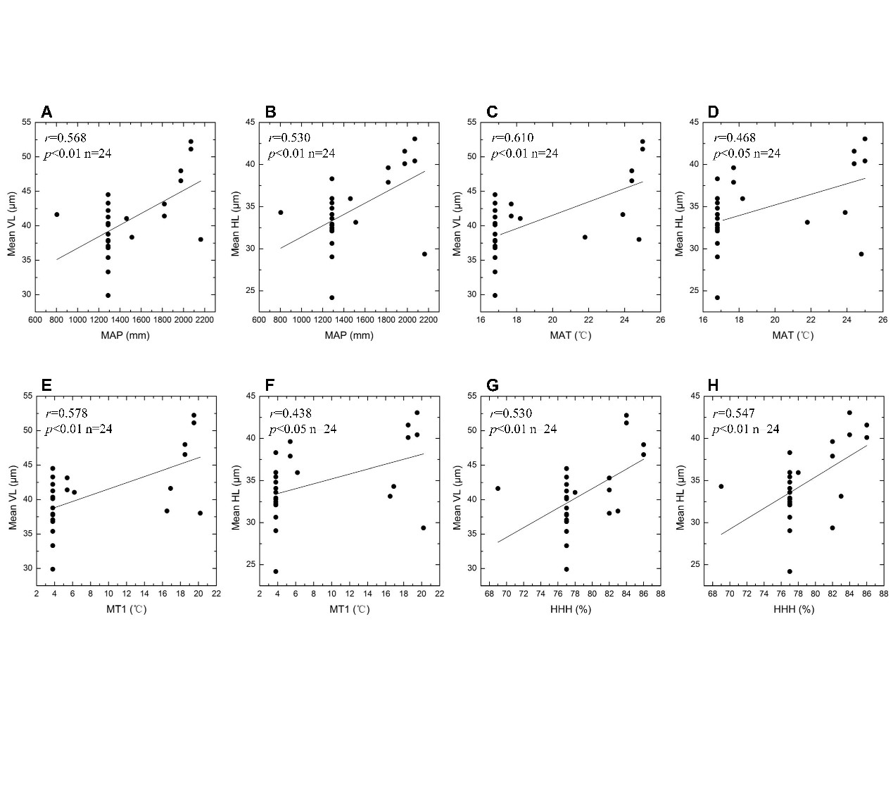
王灿及其合作者在武汉华中农大水稻试验田、湖南茶陵、江西东乡等中国南方地区11处地点采集了6种驯化稻(Oryza sativa),16种普通野生稻(Oryza rufipogon),1种药用野生稻(Oryza officinalis)和1种疣粒野生稻(Oryza meyeriana)样品,通过湿式灰化法提取水稻叶片中的扇型植硅体,利用高倍光学显微镜进行观察和拍照,然后通过图像分析软件获取扇型植硅体的纵长(VL)和横长(HL)数据进行形态测量对比、判别分析以及与气候要素的相关分析。

研究发现,驯化稻和野生稻扇型植硅体的形态测量数据存在重叠,在统计学上的差异不显著(四个稻种仅36.7%的判别正确率),因此不能作为区分驯化稻和野生稻的统计指标。在鉴定水稻遗存野生和驯化性质时,扇型植硅体大小仅可作为辅助而非决定性证据。

此外,研究还发现,水稻扇型植硅体大小与生长地年均温度(MAT)、年均降水量(MAP)、一月均温(MT1)、相对湿度(HHH)等气候要素具有显著的正相关关系,而且生长于较湿润生境的水稻产生的扇型植硅体往往较大。也就是说,较大的水稻扇型植硅体更多出现在具有较高温度、降水量和较湿的生境中,说明除驯化外,水热环境也是影响水稻扇型植硅体大小的因素之一。而在武汉华中农大试验田相同的气候条件和水环境下,种植的驯化稻相对于野生稻具有更大的扇型植硅体,这一现象值得进一步研究。在未来的考古学研究中,如果继续利用扇型植硅体增大趋势揭示水稻驯化过程,需要预先排除水热条件等环境因素的影响。

综上,驯化稻和野生稻扇型植硅体的形态测量数据没有截然分明的分布区间,不能建立定量鉴定标准;驯化可能会使扇型植硅体增大,但扇型植硅体的增大并不一定来自驯化,也可能由环境因素造成,在利用考古遗存追踪水稻驯化过程时要慎重使用扇型植硅体大小这一指标。
本文合作者包括中国科学院地质与地球物理研究所吕厚远研究员(共同通讯作者)、张健平副研究员,中国科学院南京地质古生物研究所毛礼米研究员,中国科学院古脊椎动物与古人类研究所葛勇博士。该研究得到了国家自然科学基金(41701233, 41830322, 41430103)、中国科学院战略性先导科技专项(XDB26000000)与河北省教育厅青年拔尖人才计划项目(BJ2018118)的共同资助。
Frontiers in Plant Science为英文植物学专业期刊,致力于发表全球前沿植物学及相关交叉学科的研究成果,具有较大的学术影响力(JCR分区:Q1,中科院SCI期刊分区:生物2区)。这是太阳成集团tyc151cc历史文化学院首次在该期刊发表文章。
文章链接:https://www.frontiersin.org/articles/10.3389/fpls.2019.01037/full.