3月25日,太阳成集团tyc151cc文化遗产研究院人类演化研究团队在国际权威学术期刊Journal of Human Evolution在线发表题为“Middle Pleistocene Pongo from Ganxian Cave in southern China with implications for understanding dental size evolution in orangutans”的研究论文,报道了中国南方新发现的中更新世晚期猩猩化石记录。该发现为探索早期猿类的起源和演化提供了重要的科学依据。论文第一作者为太阳成集团tyc151cc文化遗产研究院博士研究生梁华,通讯作者为该院的廖卫副研究员和王伟教授。参与本项研究的单位包括南京师范大学、法国国家自然历史博物馆、澳大利亚昆士兰大学、美国纽约大学和夏威夷大学。

图1 感仙洞遗址

图2 感仙洞遗址地层剖面图

图3 感仙洞遗址发现的猩猩牙齿化石

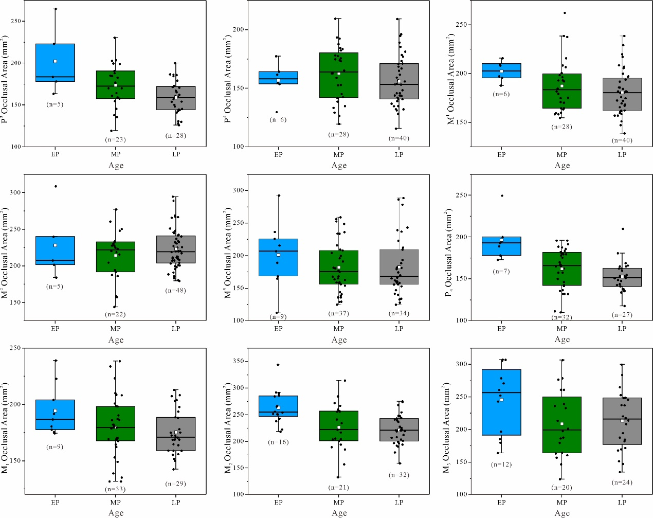
图4 东南亚大陆更新世猩猩牙齿的尺寸比较
现生大型猿类是所有灵长类动物中与人最接近的物种,有关其演化的研究一直是学术界关注的焦点,也是探索早期人类起源与演化的重要组成部分。猩猩(红毛猩猩)是亚洲唯一的现生大型猿类,仅存于印度尼西亚和马来西亚的热带雨林,但在地质历史时期,其化石记录却遍布中国南方和东南亚大陆。
研究团队对广西田东感仙洞发现的106枚猩猩化石开展了详细的研究,通过与化石猩猩和现生猩猩标本进行形态对比,发现感仙洞的猩猩牙齿化石表现出尺寸大、咬合面复杂、齿带残留显著等特征,与现生种类差异显著,属于已经绝灭的猩猩魏氏亚种Pongo weidenreichi。研究团队采用多接收器电感耦合等离子体质谱(MC-ICP-MS)同位素分析技术和电子自旋共振与铀系联合法测定地层中的钙板和哺乳动物牙齿化石,将感仙洞猩猩化石的年代精确地限定在距今16-36万年之间,为中国南方中更新世晚期猩猩提供了迄今最为精确的地质年代。研究团队分析了东南亚大陆更新世猩猩牙齿尺寸,结果证实了猩猩牙齿化石尺寸缩小主要发生在早、中更新世。从中更新世到晚更新世,除上颌第三前臼齿外,其它齿位牙齿尺寸变化不大。更新世以来的环境变化可能是导致猩猩牙齿大小变化的主要因素。这项发现和研究为探索东亚大型猿类的起源与演化提供了重要的科学依据。
Journal of Human Evolution(JCR分区:SSCI一区)为古人类学研究的权威专业期刊,该刊致力于发表世界范围内人类起源与演化领域高质量的文章,在古人类学界享有盛誉。
文章链接:
https://doi.org/10.1016/j.jhevol.2023.103348